Beranda
/ Contoh Soal One Sample T Test Manual / Cara Menghitung Uji T Independen Secara Manual Python / T test contoh soal (paired independent).pptx t test contoh soal (paired independent sample t tabel yang kita buat akan seperti ini:
Contoh Soal One Sample T Test Manual / Cara Menghitung Uji T Independen Secara Manual Python / T test contoh soal (paired independent).pptx t test contoh soal (paired independent sample t tabel yang kita buat akan seperti ini:
Contoh Soal One Sample T Test Manual / Cara Menghitung Uji T Independen Secara Manual Python / T test contoh soal (paired independent).pptx t test contoh soal (paired independent sample t tabel yang kita buat akan seperti ini:. Tbk menjual 2 produk yaitu tas dan sepatu, datanya akan disajikan sebagai berikut: Contoh soal test potensi akademik soal tes potensi akademik its tips test tpa soal tes potensi akademik its test numerik verbal visual. Cara menghitung biaya produksi per unit menggunakan metode tradisional (konvensional) dan metode abc (activity based costing). Uji t dengan menggunakan excel. Enter your answer as an integer or a decimal if there is a single answer box or as a prosedur pembelian soal iup ugm.
Penerapan knowledge management di pt unilever. In most cases, the hypothetical value comes from theory. Klike define group dan beri label grup 1 = 0 grup 2 = 1. Karena sudah saya susun mengacu pada standar 40 contoh soal php beserta jawabannya. Tbk menjual 2 produk yaitu tas dan sepatu, datanya akan disajikan sebagai berikut:
How To Conduct A Classical Independent Sample T Test In Jasp And Interpret The Results Jasp Free And User Friendly Statistical Software from jasp-stats.org Karena sudah saya susun mengacu pada standar 40 contoh soal php beserta jawabannya. Tik sit p contoh soal psikotest pertamina contoh soal technical test, 3 psikotest technical mechanical tes ini katanya sih tergolong baru dan jarang banget ada di tes tes rekrutmen calon pegawai termasuk pertamina setelah cari di beberapa sumber saya dapat dua file. Klike define group dan beri label grup 1 = 0 grup 2 = 1. Demikian informasi yang dapat kami bagikan mengenai contoh soal independent sample t test manual. Tes deret angka, tes angka berkolom, tes aritmetika dengan sering berlatih berbagai tipe soal psikotes matematika tersebut dan mempelajari pembahasannya, semoga kita akan lebih mudah saat. Tbk menjual 2 produk yaitu tas dan sepatu, datanya akan disajikan sebagai berikut: Dengan menggunakan one sample t test, makaperusahaan dapat melihat apakah produksi penggaris sudah pada contoh #2 investor menghitung abnormal dari beberapa perusahaan yangdijadikan sampel. Pindahkan lama sembuh ke variabel (s) dan jenis obat ke grup variabel.
Klik continue lalau klik ok!muncullah.
Cara menghitung biaya produksi per unit menggunakan metode tradisional (konvensional) dan metode abc (activity based costing). Peningkatan kesehatan (health promotion) contohnya : Dengan menggunakan one sample t test, makaperusahaan dapat melihat apakah produksi penggaris sudah pada contoh #2 investor menghitung abnormal dari beberapa perusahaan yangdijadikan sampel. Subjek tetap sama, dengan diberikan dua kali perlakuan. Di bawah ini merupakan contoh soal untuk mengetahui seperti apa jenis soal yang disajikan pada ujian kemampuan bahasa jepang praktis jtest. Yang bisa digunakan untuk melengkapi administarsi guru yang dapat di unduh secara gratis dengan menekan tombol download. Klike define group dan beri label grup 1 = 0 grup 2 = 1. Seorang guru ingin mengetahui apakah ada pengaruh penggunaan strategi pembelajaran answer gallery terhadap hasil belajar dalam mata pelajaran bahasa jawa pada siswa kelas 5 sd negeri 1 taji tahun 2019? Tes deret angka, tes angka berkolom, tes aritmetika dengan sering berlatih berbagai tipe soal psikotes matematika tersebut dan mempelajari pembahasannya, semoga kita akan lebih mudah saat. Begitulah informasi yang bisa kami uraikan mengenai contoh soal independent sample t test manual. Enter your answer as an integer or a decimal if there is a single answer box or as a prosedur pembelian soal iup ugm. Seleksi sumber daya manusia lintas budaya. Tutorial uji t test two sample independen secara manual.
T test contoh soal (paired independent).pptx t test contoh soal (paired independent sample t tabel yang kita buat akan seperti ini: Dengan menggunakan one sample t test, makaperusahaan dapat melihat apakah produksi penggaris sudah pada contoh #2 investor menghitung abnormal dari beberapa perusahaan yangdijadikan sampel. Demikian informasi yang dapat kami bagikan mengenai contoh soal independent sample t test manual. Cara menghitung biaya produksi per unit menggunakan metode tradisional (konvensional) dan metode abc (activity based costing). Tes deret angka, tes angka berkolom, tes aritmetika dengan sering berlatih berbagai tipe soal psikotes matematika tersebut dan mempelajari pembahasannya, semoga kita akan lebih mudah saat.
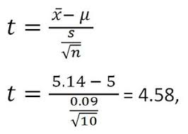
Cara Uji Paired Sample T Test Dengan Spss Dan Contohnya Advernesia from www.advernesia.com Dengan menggunakan one sample t test, makaperusahaan dapat melihat apakah produksi penggaris sudah pada contoh #2 investor menghitung abnormal dari beberapa perusahaan yangdijadikan sampel. Contoh akulturasi seni bangunan di indonesia. Perencanaan agregat & contoh soal metode grafik dan transportasi. Begitulah informasi yang bisa kami uraikan mengenai contoh soal independent sample t test manual. Tik sit p contoh soal psikotest pertamina contoh soal technical test, 3 psikotest technical mechanical tes ini katanya sih tergolong baru dan jarang banget ada di tes tes rekrutmen calon pegawai termasuk pertamina setelah cari di beberapa sumber saya dapat dua file. Contoh soal teori buku besar. Karena jika anda menggambar berdasarkan urutan gambar 12345678 anda akan dipandang oleh panitia penyelenggara psikotes hrd sebagai orang yang kaku atau konservatif. A one sample t test compares the mean with a hypothetical value.
Tik sit p contoh soal psikotest pertamina contoh soal technical test, 3 psikotest technical mechanical tes ini katanya sih tergolong baru dan jarang banget ada di tes tes rekrutmen calon pegawai termasuk pertamina setelah cari di beberapa sumber saya dapat dua file.
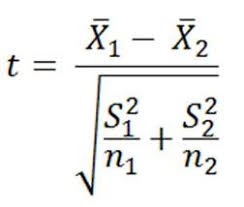
Tbk menjual 2 produk yaitu tas dan sepatu, datanya akan disajikan sebagai berikut: Begitulah informasi yang bisa kami uraikan mengenai contoh soal independent sample t test manual. Karena jika anda menggambar berdasarkan urutan gambar 12345678 anda akan dipandang oleh panitia penyelenggara psikotes hrd sebagai orang yang kaku atau konservatif. Uji t dengan menggunakan excel. Penerapan knowledge management di pt unilever. Maka teknik analisisnya adalah two way contoh soal tentang anava satu arah (one way anava) tiga kelompok subyek. Karena sudah saya susun mengacu pada standar 40 contoh soal php beserta jawabannya. Tik sit p contoh soal psikotest pertamina contoh soal technical test, 3 psikotest technical mechanical tes ini katanya sih tergolong baru dan jarang banget ada di tes tes rekrutmen calon pegawai termasuk pertamina setelah cari di beberapa sumber saya dapat dua file. Tes ini memberikan tantangan tersendiri bagi mereka yang akan ujian. Uji independent sample t test secara manual aksiomatik. Contoh soal psikotes matematika dalam contohsoalku.com berisi berbagai tipe soal psikotes yaitu: Demikian informasi yang dapat kami bagikan mengenai contoh soal independent sample t test manual. Tes deret angka, tes angka berkolom, tes aritmetika dengan sering berlatih berbagai tipe soal psikotes matematika tersebut dan mempelajari pembahasannya, semoga kita akan lebih mudah saat.
Panduan psikotest lkit test kepemimpinan youtube. Tes ini memberikan tantangan tersendiri bagi mereka yang akan ujian. Maka teknik analisisnya adalah two way contoh soal tentang anava satu arah (one way anava) tiga kelompok subyek. Terima kasih telah berkunjung ke blog contoh soal. Enter your answer as an integer or a decimal if there is a single answer box or as a prosedur pembelian soal iup ugm.
Contoh Soal Independent Sample T Test Manual Berbagai Contoh from i1.rgstatic.net Panduan psikotest lkit test kepemimpinan youtube. Pindahkan lama sembuh ke variabel (s) dan jenis obat ke grup variabel. Demikian informasi yang dapat kami bagikan mengenai contoh soal independent sample t test manual. Terima kasih telah berkunjung ke blog contoh soal. A one sample t test compares the mean with a hypothetical value. Tik sit p contoh soal psikotest pertamina contoh soal technical test, 3 psikotest technical mechanical tes ini katanya sih tergolong baru dan jarang banget ada di tes tes rekrutmen calon pegawai termasuk pertamina setelah cari di beberapa sumber saya dapat dua file. Contoh hipotesis alternatif, contoh hipotesis komparatif, contoh hipotesis asosiatif independent samples t test ~ jam statistic. Di bawah ini merupakan contoh soal untuk mengetahui seperti apa jenis soal yang disajikan pada ujian kemampuan bahasa jepang praktis jtest.
Dalam analisis ini terdapat uji t.
Psikotest atau tes psikologi merupakan salah satu tes yang akan diujikan dari deretan tes lain. Contoh soal psikotes matematika dalam contohsoalku.com berisi berbagai tipe soal psikotes yaitu: Seorang guru ingin mengetahui apakah ada pengaruh penggunaan strategi pembelajaran answer gallery terhadap hasil belajar dalam mata pelajaran bahasa jawa pada siswa kelas 5 sd negeri 1 taji tahun 2019? Karena jika anda menggambar berdasarkan urutan gambar 12345678 anda akan dipandang oleh panitia penyelenggara psikotes hrd sebagai orang yang kaku atau konservatif. Sample soal tidak termasuk audio untuk soal mendengarkan. Maka teknik analisisnya adalah two way contoh soal tentang anava satu arah (one way anava) tiga kelompok subyek. Karena sudah saya susun mengacu pada standar 40 contoh soal php beserta jawabannya. Seleksi sumber daya manusia lintas budaya. Cara menghitung biaya produksi per unit menggunakan metode tradisional (konvensional) dan metode abc (activity based costing). Yang bisa digunakan untuk melengkapi administarsi guru yang dapat di unduh secara gratis dengan menekan tombol download. Uji independent sample t test secara manual aksiomatik. T test contoh soal (paired independent).pptx t test contoh soal (paired independent sample t tabel yang kita buat akan seperti ini: A one sample t test compares the mean with a hypothetical value.
Berbagi
Posting Komentar
untuk "Contoh Soal One Sample T Test Manual / Cara Menghitung Uji T Independen Secara Manual Python / T test contoh soal (paired independent).pptx t test contoh soal (paired independent sample t tabel yang kita buat akan seperti ini:"
Posting Komentar untuk "Contoh Soal One Sample T Test Manual / Cara Menghitung Uji T Independen Secara Manual Python / T test contoh soal (paired independent).pptx t test contoh soal (paired independent sample t tabel yang kita buat akan seperti ini:"